Antenna information for TRM115000.00 NONE
| SV System | Bands |
|---|---|
GPSL1: N: 0.17 E: 0.14 U: 65.97L2: N: 0.34 E: 0.15 U: 57.96 L5: N: -0.52 E: 0.40 U: 58.38 GLONASSL1: N: 0.03 E: -0.42 U: 64.46L2: N: 0.60 E: 0.22 U: 57.04 GALILEOE1: N: 0.17 E: 0.14 U: 65.97E5a: N: -0.52 E: 0.40 U: 58.38 E5b: N: 0.09 E: 0.13 U: 57.65 E5: N: -0.21 E: 0.50 U: 58.61 E6: N: 0.90 E: 0.67 U: 56.51 BeiDouE1: N: 0.17 E: 0.14 U: 65.97E2: N: 0.15 E: 0.13 U: 67.18 E5b: N: 0.09 E: 0.13 U: 57.65 E6: N: 0.82 E: 0.46 U: 56.32 QZSSL1: N: 0.17 E: 0.14 U: 65.97L2: N: 0.34 E: 0.15 U: 57.96 L5: N: -0.52 E: 0.40 U: 58.38 LEX: N: 0.90 E: 0.67 U: 56.51 IRNSSL5: N: -0.52 E: 0.40 U: 58.38SBASL1: N: 0.17 E: 0.14 U: 65.97L5: N: -0.52 E: 0.40 U: 58.38 | L1GPS: N: 0.17 E: 0.14 U: 65.97GLONASS: N: 0.03 E: -0.42 U: 64.46 QZSS: N: 0.17 E: 0.14 U: 65.97 SBAS: N: 0.17 E: 0.14 U: 65.97 L2GPS: N: 0.34 E: 0.15 U: 57.96GLONASS: N: 0.60 E: 0.22 U: 57.04 QZSS: N: 0.34 E: 0.15 U: 57.96 L5GPS: N: -0.52 E: 0.40 U: 58.38QZSS: N: -0.52 E: 0.40 U: 58.38 SBAS: N: -0.52 E: 0.40 U: 58.38 IRNSS: N: -0.52 E: 0.40 U: 58.38 E1GALILEO: N: 0.17 E: 0.14 U: 65.97BeiDou: N: 0.17 E: 0.14 U: 65.97 E2BeiDou: N: 0.15 E: 0.13 U: 67.18E5GALILEO: N: -0.21 E: 0.50 U: 58.61E5aGALILEO: N: -0.52 E: 0.40 U: 58.38E5bGALILEO: N: 0.09 E: 0.13 U: 57.65BeiDou: N: 0.09 E: 0.13 U: 57.65 E6GALILEO: N: 0.90 E: 0.67 U: 56.51BeiDou: N: 0.82 E: 0.46 U: 56.32 LEXQZSS: N: 0.90 E: 0.67 U: 56.51 |
Means
GPS
GLONASS
GALILEO
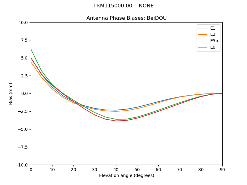
BeiDOU
QZSS
SBAS
IRNSS
Azimuths
| Bias | Delta |
|---|---|
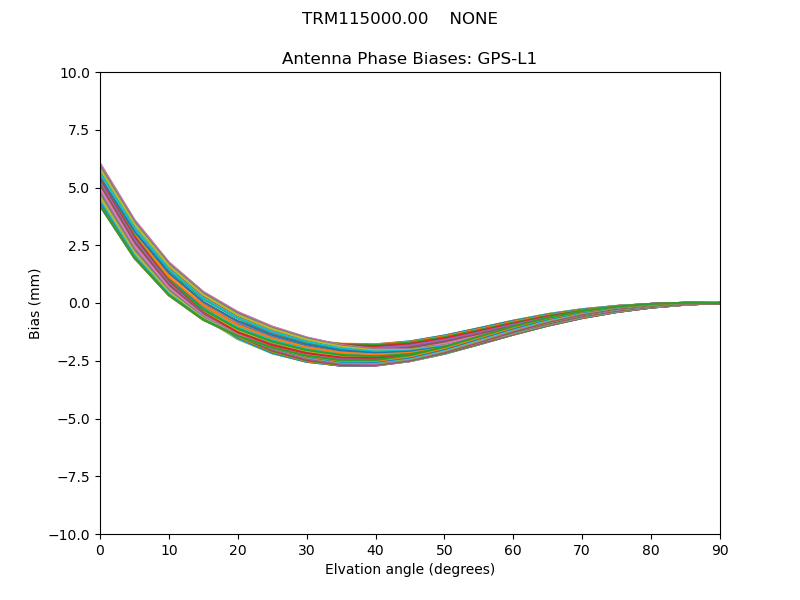
GPS-L1 | |
![]() | ![]() |
![]() | ![]() |
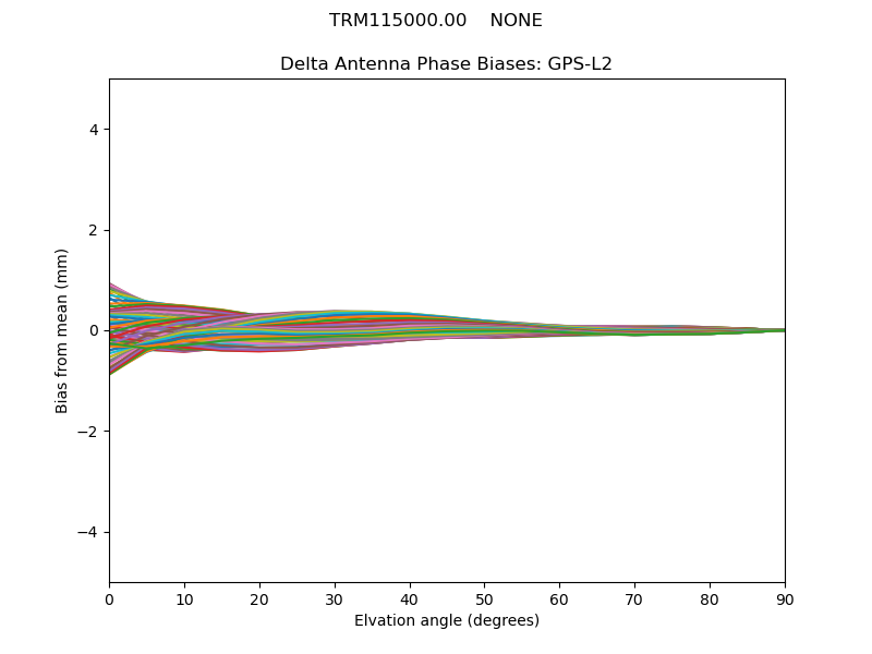
GPS-L2 | |
![]() | ![]() |
![]() | ![]() |
GPS-L5 | |
![]() | ![]() |
![]() | ![]() |
| Bias | Delta |
|---|---|
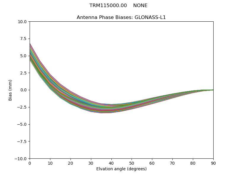
GLONASS-L1 | |
![]() | ![]() |
![]() | ![]() |
GLONASS-L2 | |
![]() | ![]() |
![]() | ![]() |
| Bias | Delta |
|---|---|
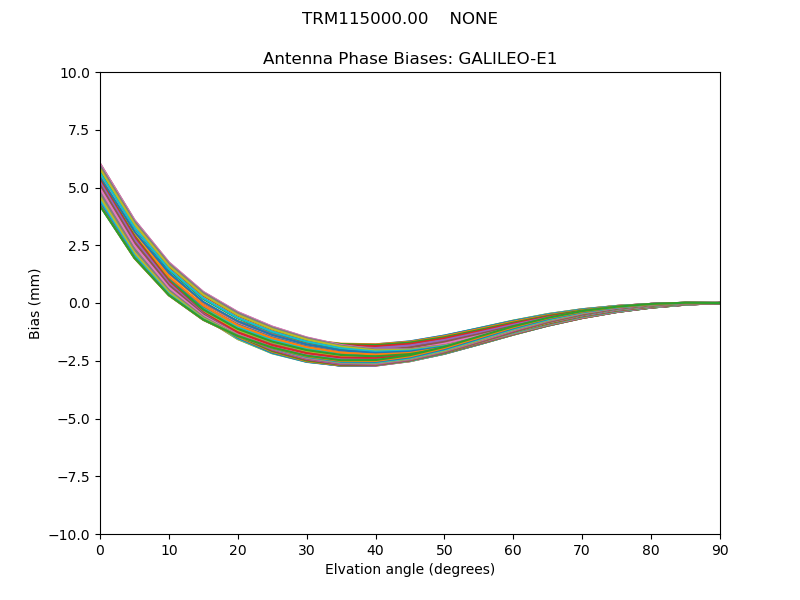
GALILEO-E1 | |
![]() | ![]() |
![]() | ![]() |
GALILEO-E5a | |
![]() | ![]() |
![]() | ![]() |
GALILEO-E5b | |
![]() | ![]() |
![]() | ![]() |
GALILEO-E5 | |
![]() | ![]() |
![]() | ![]() |
GALILEO-E6 | |
![]() | ![]() |
![]() | ![]() |
| Bias | Delta |
|---|---|
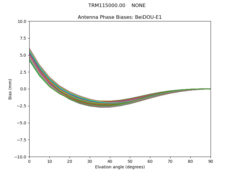
BeiDOU-E1 | |
![]() | ![]() |
![]() | ![]() |
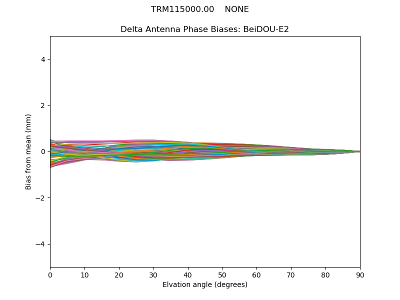
BeiDOU-E2 | |
![]() | ![]() |
![]() | ![]() |
BeiDOU-E5b | |
![]() | ![]() |
![]() | ![]() |
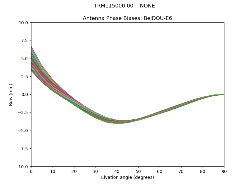
BeiDOU-E6 | |
![]() | ![]() |
![]() | ![]() |
| Bias | Delta |
|---|---|
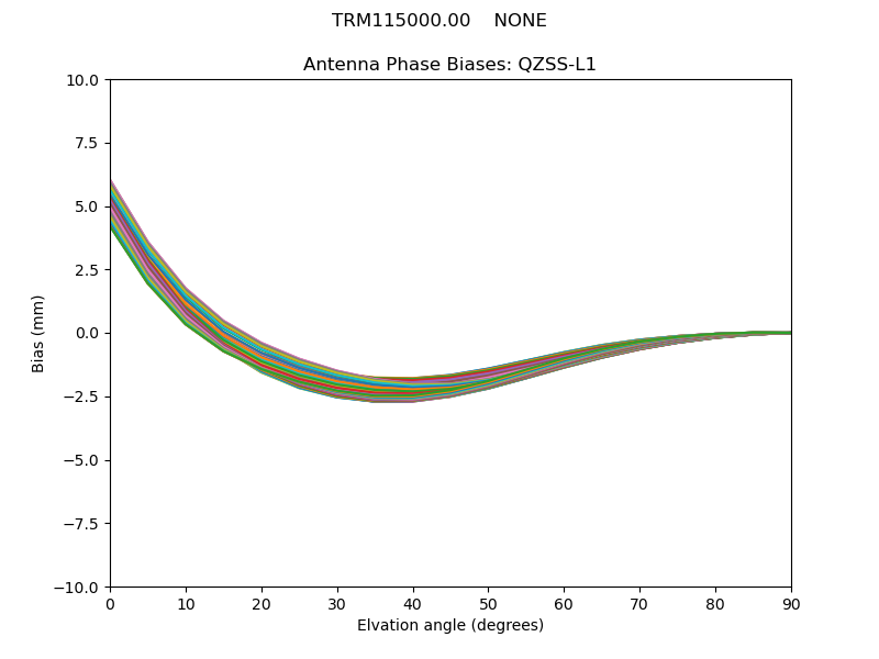
QZSS-L1 | |
![]() | ![]() |
![]() | ![]() |
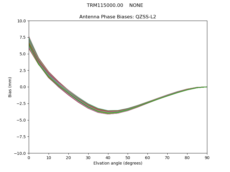
QZSS-L2 | |
![]() | ![]() |
![]() | ![]() |
QZSS-L5 | |
![]() | ![]() |
![]() | ![]() |
| Bias | Delta |
|---|---|
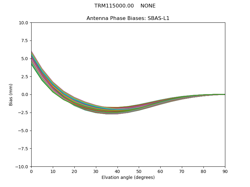
SBAS-L1 | |
![]() | ![]() |
![]() | ![]() |
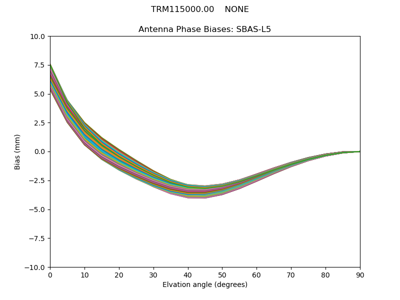
SBAS-L5 | |
![]() | ![]() |
![]() | ![]() |
| Bias | Delta |
|---|---|
IRNSS-L5 | |
![]() | ![]() |
![]() | ![]() |















































































